内容简介:本志记述了该市的自然、政治、经济、文化、科技等各方面发展的历史与现状。
编纂人员:无
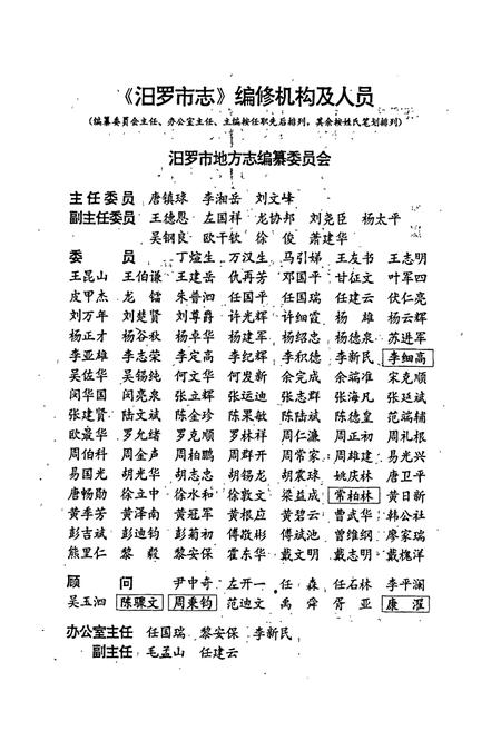
编纂单位:汨罗市志编纂委员会
内容时限:0000-1993
出版单位:方志出版社






常见问题
链接失效,打不开
联系客服微信: w5beis,提供付款截图,会给您补发。
图片模糊看不清晰怎么办?
不要在网盘直接看,下载到电脑再看。
下载速度太慢了
百度网盘免费保存下载,非会员下载速度限制,可开通会员,实在着急联系客服Q:2069572989发邮箱
内容简介:本志记述了该市的自然、政治、经济、文化、科技等各方面发展的历史与现状。
编纂人员:无
编纂单位:汨罗市志编纂委员会
内容时限:0000-1993
出版单位:方志出版社





