内容简介:一、本志是中国油气田开发领域的专业志书,客观记述中国油气田开发的历史和现状,具有保存史实、决策参考和资料应用等多重功能。二、本志内容涵盖油气田地质、开发部署与方案实施、油气藏工程、钻采工程、地面生产系统等油气田开发的各个方面;遵照横排竖写原则,分类项纵述其发展、演变过程。力求突出重点,突出特色。三、本志体裁采取述、记、志、传、图、表、录等形式,以专志为主,采用卷、篇、章、节、目结构。
编纂人员:刘宝和
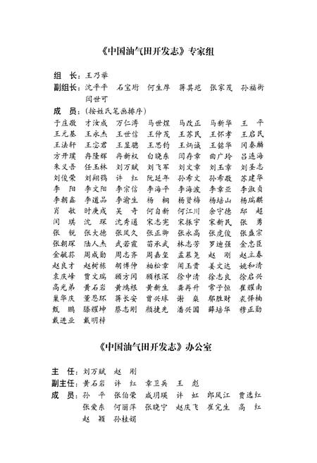
编纂单位:《中国油气田开发志》总编纂委员会
出版单位:石油工业出版社






常见问题
链接失效,打不开
联系客服微信: w5beis,提供付款截图,会给您补发。
图片模糊看不清晰怎么办?
不要在网盘直接看,下载到电脑再看。
下载速度太慢了
百度网盘免费保存下载,非会员下载速度限制,可开通会员,实在着急联系客服Q:2069572989发邮箱
