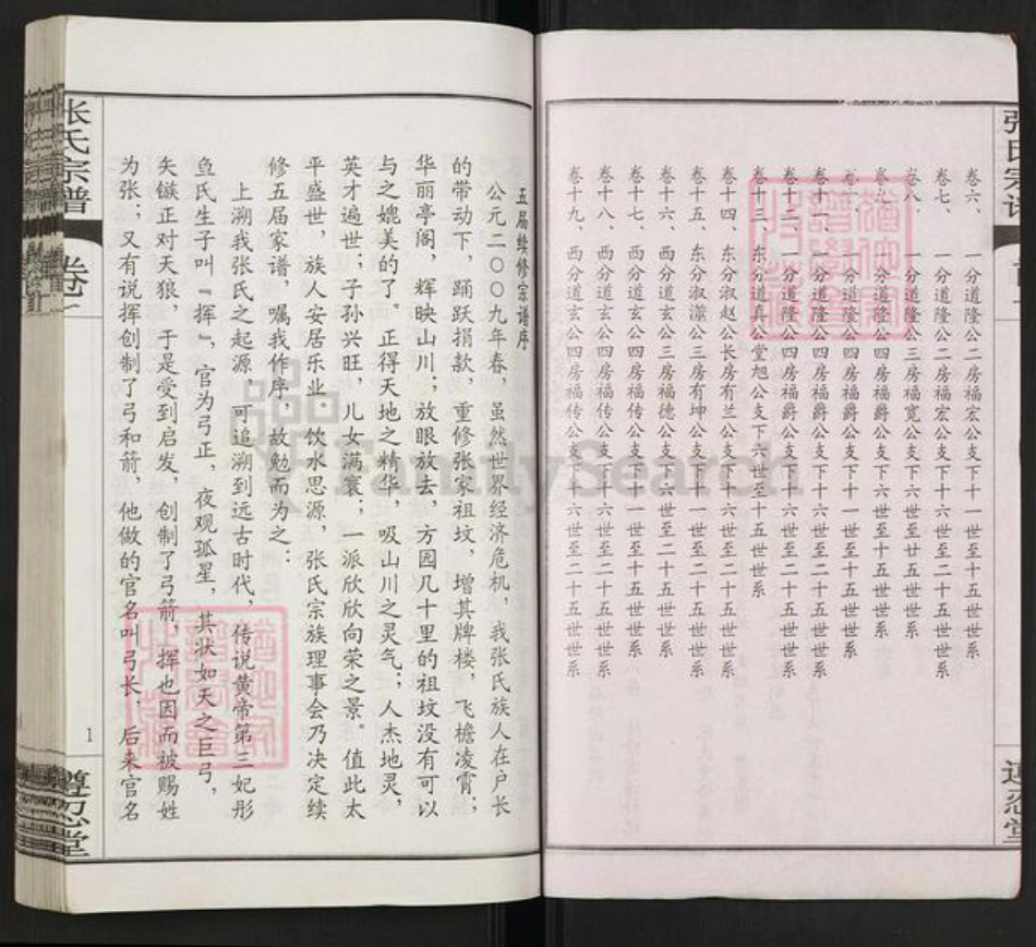
著作者:张孝言 – 主编
卷册页:19卷首2卷
撰修时间:洪武2-2010(1369-2010)年
压缩包/PDF大小:623.93 MB
PDF页数/图片数量:1579页
本链接为档案馆原始档案,所存卷数、页数与档案馆一致。
购买后点击下载即可查看高清文件。
更多族谱方志档案请站内搜索。

湖北省武汉市新洲区张氏遵忍堂族谱-张氏宗谱.pdf电子版

湖北省武汉市新洲区张氏遵忍堂族谱-张氏宗谱网盘下载

湖北省武汉市新洲区张氏遵忍堂族谱-张氏宗谱高清PDF



常见问题
链接失效,打不开
联系客服微信: w5beis,提供付款截图,会给您补发。
图片模糊看不清晰怎么办?
不要在网盘直接看,下载到电脑再看。
下载速度太慢了
百度网盘免费保存下载,非会员下载速度限制,可开通会员,实在着急联系客服Q:2069572989发邮箱
