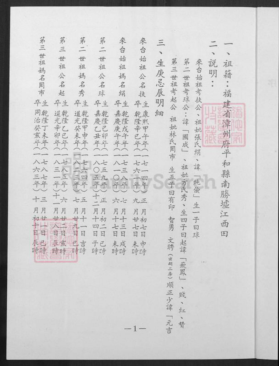
著作者:江德茂 – 主任委员
卷册页:不分卷
撰修时间:1714-2002年
压缩包/PDF大小:8.84 MB
PDF页数/图片数量:24页
本链接为档案馆原始档案,所存卷数、页数与档案馆一致。
购买后点击下载即可查看高清文件。
更多族谱方志档案请站内搜索。

湖南省岳阳市平江县加义镇江氏族谱-山仔顶长竹巷淮阳江氏族谱.pdf电子版

湖南省岳阳市平江县加义镇江氏族谱-山仔顶长竹巷淮阳江氏族谱网盘下载

湖南省岳阳市平江县加义镇江氏族谱-山仔顶长竹巷淮阳江氏族谱高清PDF



常见问题
链接失效,打不开
联系客服微信: w5beis,提供付款截图,会给您补发。
图片模糊看不清晰怎么办?
不要在网盘直接看,下载到电脑再看。
下载速度太慢了
百度网盘免费保存下载,非会员下载速度限制,可开通会员,实在着急联系客服Q:2069572989发邮箱
